BBC News
Kako su izračunate carine Donalda Trampa
Tramp
Američki predsednik Donald Tramp uveo je carine od 10 odsto na robu iz većine zemalja koja se uvozi u Ameriku. Ali kako su tačno ove carine, praktično porez na uvoz, izračunate?
Američki predsednik Donald Tramp uveo je carine od 10 odsto na robu iz većine zemalja koja se uvozi u Ameriku, a još veću carinsku stopu za, kako kaže, „najgore kršitelje".
Ali kako su tačno ove carine, praktično porez na uvoz, izračunate?
BBC tim za utvrđivanje činjcenica (Verify) je proučio proračune koji stoje iza ovih brojki.
- Tramp proglasio trgovinski rat svetu, Srbija prošla najlošije na Balkanu
- Da li je Amerika žrtva nepravedne trgovine, kako tvrdi Tramp
- Od 'zemlje za koju niko nije čuo', do najviših mogućih carina: Upoznajte Lesoto
Kako su izvršeni proračuni?
Kad je Tramp predstavio ogromnu kartonsku tabelu sa detaljima carina u Ružinom vrtu Bele kuće, isprva je pretpostavljeno da su nameti izračunati na osnovu kombinacije postojećih carina i drugih trgovinskih preprekaa (kao što su propisi).
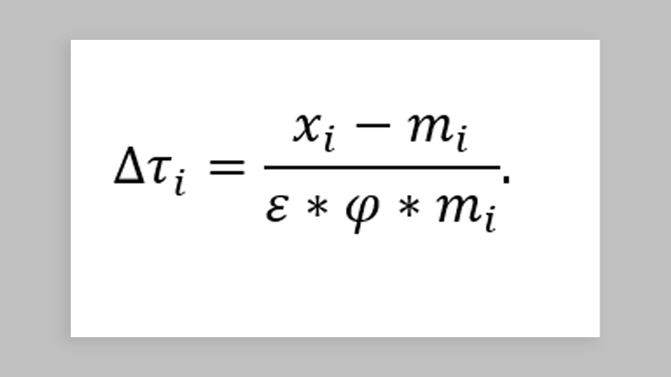
Ali kasnije je Bela kuća objavila nešto što izgleda kao komplikovana matematička formula.
Međutim, ako rastavite ovu formulu iznad, videćete da se ona svodi na prostu matematiku: uzmite trgovinski deficit za Ameriku u robi za određenu zemlju, podelite ga sa ukupnim brojem uvoza robe iz te zemlje i onda taj broj podelite sa dva.
Formula takođe uračunava koliko carine zavise od cena robe i koliko će na te carine uticati te cene.
Ali zacrtane vrednosti koje je koristila Bela kuća poništavaju jedne druge.
Trgovinski deficit nastaje kad zemlja kupi (uveze) više fizičkih proizvoda iz drugih zemalja nego što im ih proda (izveze).
Na primer, Amerika kupi više robe iz Kine nego što joj proda - postoji deficit u robi u vrednosti od 295 milijardi dolara.
Ukupna količina robe koju kupi od Kine je 440 milijardi dolara.
Kad podelite 440 sa 295 dobijete 67 odsto i to podelite sa dva i zaokružite.
Stoga carina uvedena Kini iznosi 34 odsto.
Slično tome, primenjeno na EU, preko formule Bele kuće stiže se do carine od 20 odsto.
Pogledajte video: Trampove carine - kako ih je obznanio
Da li su Trampove carine recipročne?
Mnogi komentatori su istakli da ove carine nisu recipročne.
Recipročno bi značilo da su zasnovane na onome što zemlje već naplaćuju Americi u obliku postojećih carina, plus necarinske barijere (stvari kao što su regulativa koja podiže troškove).
Ali dokument zvanične metodologije Bele kuće jasno stavlja do znanja da nisu na ovaj način izračunavali za sve zemlje kojima su uveli carine.
Umesto toga, carine su bile izračunate na osnovu toga da li će to eliminisati američki trgovinski deficit sa svakom zemljom.
Tramp je odstupio od formule nametanjem carine zemljama koje kupuju više robe od SAD nego što joj prodaju.
Na primer, Amerika trenutno nema trgovinski deficit sa Velikom Britanijom.
A opet je Velikoj Britaniji uvedena carina od 10 odsto.
Ukupno gledano, novim režimom carina pogođeno je više od 100 zemalja.
'Mnogo širih posledica'
Tramp veruje da je Amerika žrtva nefer sporazuma u svetskoj trgovini.
Prema njegovom mišljenju, druge zemlje zasipaju američko tržište jeftinom robom - što šteti američkim kompanijama i košta ih gubitkom radnih mesta.
Istovremeno, ove zemlje postavljaju prepreke koje čine američke proizvode manje konkurentnim u inostranstvu.
I zato, koristeći carine da eliminiše trgovinske deficite, Tramp se nada da će oživeti američku proizvodnju i zaštititi tamošnja zaposlenja.
Ali da li će ovaj novi režim carina postići željeni efekat?
BBC tim za utvrđivanje činjenica je razgovarao sa velikim brojem ekonomista.
Stav ogromne većine je da iako bi carine mogle da smanje trgovinski deficit između Amerike i pojedinačnih zemalja, one neće smanjiti ukupan trgovinski deficit između Amerike i ostatka sveta.
„Da, smanjiće bilateralne trgovinske deficite između Amerike i tih zemalja.
„Ali očigledno će biti mnogo širih posledica koje nisu obuhvaćene ovim proračunima", kaže profesor Džonatan Ports sa Kraljevskog koledža u Londonu.
To je zato što postojeći ukupni američki deficit nije izazvan isključivo trgovinskim barijerama, već time kako funkcioniše američka privreda.
Pod jedan, Amerikanci troše i ulažu mnogo više nego što zarađuju, a taj jaz znači da Amerika kupuje više od sveta nego što mu prodaju.
I tako, dok god se to bude nastavilo, Amerika bi mogle da nastavi da ima deficit uprkos povećanju carina svojim svetskim trgovinskim partnerima.
Neki trgovinski deficiti bi takođe mogli da postoje iz raznih drugih legitimnih razloga - ne samo zbog carina.
Na primer, kupovina hrane koja je lakša ili jeftinija za proizvodnju u klimi drugih zemalja.
„Formula je dobijena putem obrnutog inženjeringa da bi se racionalizovalo naplaćivanje carina zemljama sa kojima Amerika ima trgovinski deficit.
„Ne postoji ekonomsko opravdanje da se to radi i to će skupo koštati svetsku ekonomiju", kaže Tomas Sampson iz Londonske škole za ekonomiju.
- Da li je moguć treći mandat Donalda Trampa
- Tramp najavio carine od 25 odsto na uvoz automobila u Ameriku
- Rusija nastavlja saradnju sa Amerikom uprkos Trampovoj izjavi da je 'veoma ljut' na Putina
Pratite nas na Fejsbuku, Tviteru, Instagramu, Jutjubu i Vajberu. Ako imate predlog teme za nas, javite se na [email protected]
